Генератор с общим стоком 5-15 МГц
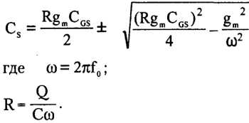
В приведенной формуле CGS состоит из суммы внутренней и внешней емкостей, a gm - активная динамическая проводимость, которую транзистор представляет для тока стока, определяемого сопротивлением Rs. Условия возникновения колебаний выполняются, если CGS > 2CA/Q и значение емкости Cs находится в области, заключенной между двумя решениями уравнения:

Под Q подразумевается добротность контура.
